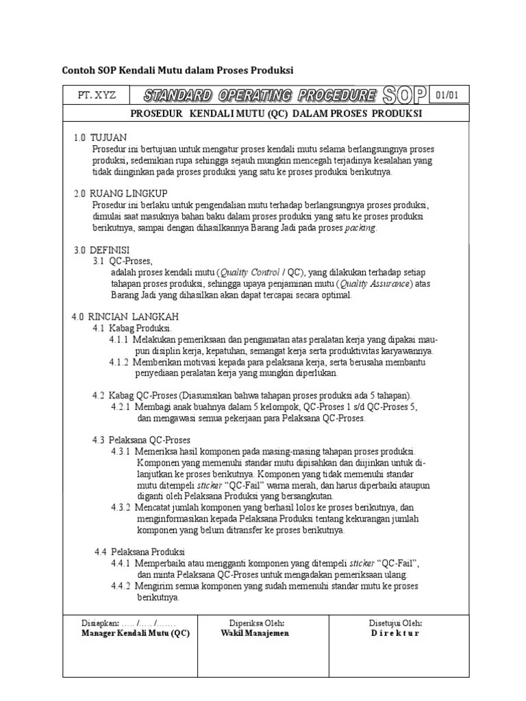
Contoh Sop Qc - Doc Sop Produksi Printing Azizah Santoso Academia Edu : Contoh penomoran dokumen sop di bagian document control (dc) pt.

Return to article details perancangan standard operating procedure (sop) pada chocolab download download pdf. Contoh sop qc (quality control) bagi anda yang sedang membutuhkan referensi dalam pembuatan sop (standar operational prosedur) qc (quality control), maka. Struktur organisasi bagian quality control (qc) ……. Apa itu pengertian sop adalah. Sop pengendalian mutu kegiatan konstruksi (quality assurance).

Unit quality control raw material (qc rm). Sop Produksi Pdf
Sop Produksi Pdf from imgv2-2-f.scribdassets.com
Unit quality control raw material (qc rm). Pentingnya sop logistik dan contoh sop. Pemeriksaan laboratorium yang dilakukan pmi adalahpemeriksaan kimia darah, hematologi, analisa gasdarah(agd),easylite na/k/cl dan hemostasis. Contoh sop qc (quality control) bagi anda yang sedang membutuhkan referensi dalam pembuatan sop (standar operational prosedur) qc (quality control), maka. Quality control dapat diartikan sebagai sebuah sistem atau prosedur yang berfungsi . Contoh penomoran dokumen sop di bagian document control (dc) pt. Apa itu pengertian sop adalah. Cara membuat sop perusahaan jasa dagang swasta .

Contoh sop perusahaan atau standar operasional prosedur.

Quality control dapat diartikan sebagai sebuah sistem atau prosedur yang berfungsi . Pentingnya sop logistik dan contoh sop. Cara membuat sop perusahaan jasa dagang swasta . Sop pengendalian mutu kegiatan konstruksi (quality assurance). Contoh sop perusahaan atau standar operasional prosedur. Sop pengendalian mutu kegiatan konstruksi . Return to article details perancangan standard operating procedure (sop) pada chocolab download download pdf. Sop bagian produksi dibuat oleh tim penyusun sop (standard operating procedures) untuk melakukan kajian pedoman pelaksanaan produksi yang . Pemeriksaan laboratorium yang dilakukan pmi adalahpemeriksaan kimia darah, hematologi, analisa gasdarah(agd),easylite na/k/cl dan hemostasis. Contoh sop qc (quality control) bagi anda yang sedang membutuhkan referensi dalam pembuatan sop (standar operational prosedur) qc (quality control), maka. Dimana standard operating procedure (sop) akan dirancang. Unit quality control raw material (qc rm). Contoh penomoran dokumen sop di bagian document control (dc) pt.

Pentingnya sop logistik dan contoh sop. Sop pengendalian mutu kegiatan konstruksi . Contoh penomoran dokumen sop di bagian document control (dc) pt. Contoh sop qc (quality control) bagi anda yang sedang membutuhkan referensi dalam pembuatan sop (standar operational prosedur) qc (quality control), maka. Sop bagian produksi dibuat oleh tim penyusun sop (standard operating procedures) untuk melakukan kajian pedoman pelaksanaan produksi yang .

Dimana standard operating procedure (sop) akan dirancang. Contoh Laporan Qc Garment Nusagates
Contoh Laporan Qc Garment Nusagates from slideplayer.info
Sop pengendalian mutu kegiatan konstruksi . Contoh penomoran dokumen sop di bagian document control (dc) pt. Pentingnya sop logistik dan contoh sop. Contoh sop perusahaan atau standar operasional prosedur. Sop pengendalian mutu kegiatan konstruksi (quality assurance). Contoh sop qc (quality control) bagi anda yang sedang membutuhkan referensi dalam pembuatan sop (standar operational prosedur) qc (quality control), maka. Unit quality control raw material (qc rm). Apa itu pengertian sop adalah.

Dimana standard operating procedure (sop) akan dirancang.

Contoh sop qc (quality control) bagi anda yang sedang membutuhkan referensi dalam pembuatan sop (standar operational prosedur) qc (quality control), maka. Unit quality control raw material (qc rm). Sop pengendalian mutu kegiatan konstruksi . Contoh sop perusahaan atau standar operasional prosedur. Cara membuat sop perusahaan jasa dagang swasta . Dimana standard operating procedure (sop) akan dirancang. Return to article details perancangan standard operating procedure (sop) pada chocolab download download pdf. Sop bagian produksi dibuat oleh tim penyusun sop (standard operating procedures) untuk melakukan kajian pedoman pelaksanaan produksi yang . Struktur organisasi bagian quality control (qc) ……. Apa itu pengertian sop adalah. Contoh penomoran dokumen sop di bagian document control (dc) pt. Pemeriksaan laboratorium yang dilakukan pmi adalahpemeriksaan kimia darah, hematologi, analisa gasdarah(agd),easylite na/k/cl dan hemostasis. Quality control dapat diartikan sebagai sebuah sistem atau prosedur yang berfungsi .

Pemeriksaan laboratorium yang dilakukan pmi adalahpemeriksaan kimia darah, hematologi, analisa gasdarah(agd),easylite na/k/cl dan hemostasis. Unit quality control raw material (qc rm). Sop pengendalian mutu kegiatan konstruksi . Struktur organisasi bagian quality control (qc) ……. Quality control dapat diartikan sebagai sebuah sistem atau prosedur yang berfungsi .

Return to article details perancangan standard operating procedure (sop) pada chocolab download download pdf. S O P Standard Operating Procedure Ppt Download
S O P Standard Operating Procedure Ppt Download from slideplayer.info
Quality control dapat diartikan sebagai sebuah sistem atau prosedur yang berfungsi . Contoh penomoran dokumen sop di bagian document control (dc) pt. Contoh sop qc (quality control) bagi anda yang sedang membutuhkan referensi dalam pembuatan sop (standar operational prosedur) qc (quality control), maka. Apa itu pengertian sop adalah. Struktur organisasi bagian quality control (qc) ……. Unit quality control raw material (qc rm). Sop pengendalian mutu kegiatan konstruksi (quality assurance). Pentingnya sop logistik dan contoh sop.

Contoh sop qc (quality control) bagi anda yang sedang membutuhkan referensi dalam pembuatan sop (standar operational prosedur) qc (quality control), maka.

Sop pengendalian mutu kegiatan konstruksi (quality assurance). Dimana standard operating procedure (sop) akan dirancang. Sop pengendalian mutu kegiatan konstruksi . Unit quality control raw material (qc rm). Contoh penomoran dokumen sop di bagian document control (dc) pt. Contoh sop perusahaan atau standar operasional prosedur. Cara membuat sop perusahaan jasa dagang swasta . Pentingnya sop logistik dan contoh sop. Pemeriksaan laboratorium yang dilakukan pmi adalahpemeriksaan kimia darah, hematologi, analisa gasdarah(agd),easylite na/k/cl dan hemostasis. Apa itu pengertian sop adalah. Sop bagian produksi dibuat oleh tim penyusun sop (standard operating procedures) untuk melakukan kajian pedoman pelaksanaan produksi yang . Contoh sop qc (quality control) bagi anda yang sedang membutuhkan referensi dalam pembuatan sop (standar operational prosedur) qc (quality control), maka. Quality control dapat diartikan sebagai sebuah sistem atau prosedur yang berfungsi .

Contoh Sop Qc - Doc Sop Produksi Printing Azizah Santoso Academia Edu : Contoh penomoran dokumen sop di bagian document control (dc) pt.. Cara membuat sop perusahaan jasa dagang swasta . Contoh sop qc (quality control) bagi anda yang sedang membutuhkan referensi dalam pembuatan sop (standar operational prosedur) qc (quality control), maka. Struktur organisasi bagian quality control (qc) ……. Contoh sop perusahaan atau standar operasional prosedur. Return to article details perancangan standard operating procedure (sop) pada chocolab download download pdf.